Transum Software

Algebraic LCM

Exercises providing practice finding the lowest common multiple of algebraic expressions.

  Menu   Basics Level 1 Level 2 Level 3 Level 4 Level 5   HCF     Help  

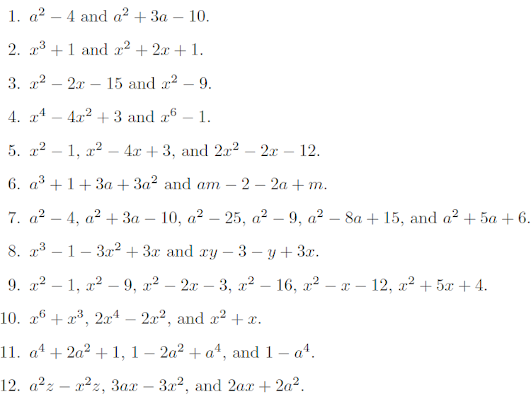
This is level 5: Attempt to find the expression for the LCM of the expressions below exactly as they appeared in the answer section of the old textbook. Clue: For some questions it may help to know that \(x+y\) is a factor of \(x^3+y^3\). Click the Help tab for another clue.

Exercise from old textbookExcerpt from A First Book in Algebra by Wallace C. Boyden 1895.

1

Answer format clue:

2

Answer format clue:

3

Answer format clue:

4

Answer format clue:

5

Answer format clue:

6

Answer format clue:

7

Answer format clue:

8

Answer format clue:

9

Answer format clue:

10

Answer format clue:

11

Answer format clue:

12

Answer format clue:

Check

This is Algebraic LCM level 5. You can also try:
Level 1 Level 2 Level 3 Level 4

Instructions

Try your best to answer the questions above. Type your answers into the boxes provided leaving no spaces. As you work through the exercise regularly click the "check" button. If you have any wrong answers, do your best to do corrections but if there is anything you don't understand, please ask your teacher for help.

When you have got all of the questions correct you may want to print out this page and paste it into your exercise book. If you keep your work in an ePortfolio you could take a screen shot of your answers and paste that into your Maths file.

Why am I learning this?

Mathematicians are not the people who find Maths easy; they are the people who enjoy how mystifying, puzzling and hard it is. Are you a mathematician?

Comment recorded on the 10 September 'Starter of the Day' page by Carol, Sheffield PArk Academy:

"3 NQTs in the department, I'm new subject leader in this new academy - Starters R Great!! Lovely resource for stimulating learning and getting eveyone off to a good start. Thank you!!"

Comment recorded on the 19 October 'Starter of the Day' page by E Pollard, Huddersfield:

"I used this with my bottom set in year 9. To engage them I used their name and favorite football team (or pop group) instead of the school name. For homework, I asked each student to find a definition for the key words they had been given (once they had fun trying to guess the answer) and they presented their findings to the rest of the class the following day. They felt really special because the key words came from their own personal information."

Each month a newsletter is published containing details of the new additions to the Transum website and a new puzzle of the month.

The newsletter is then duplicated as a podcast which is available on the major delivery networks. You can listen to the podcast while you are commuting, exercising or relaxing.

Transum breaking news is available on Twitter @Transum and if that's not enough there is also a Transum Facebook page.

Featured Activity

Jugs

Jugs

The classic problem of using two unmarked jugs to measure exactly a given quantity. The Transum version is interactive and awards a virtual trophy for each of the levels completed.

Answers

There are answers to this exercise but they are available in this space to teachers, tutors and parents who have logged in to their Transum subscription on this computer.

A Transum subscription unlocks the answers to the online exercises, quizzes and puzzles. It also provides the teacher with access to quality external links on each of the Transum Topic pages and the facility to add to the collection themselves.

Subscribers can manage class lists, lesson plans and assessment data in the Class Admin application and have access to reports of the Transum Trophies earned by class members.

If you would like to enjoy ad-free access to the thousands of Transum resources, receive our monthly newsletter, unlock the printable worksheets and see our Maths Lesson Finishers then sign up for a subscription now:

Subscribe

Go Maths

Learning and understanding Mathematics, at every level, requires learner engagement. Mathematics is not a spectator sport. Sometimes traditional teaching fails to actively involve students. One way to address the problem is through the use of interactive activities and this web site provides many of those. The Go Maths page is an alphabetical list of free activities designed for students in Secondary/High school.

Maths Map

Are you looking for something specific? An exercise to supplement the topic you are studying at school at the moment perhaps. Navigate using our Maths Map to find exercises, puzzles and Maths lesson starters grouped by topic.

Teachers

If you found this activity useful don't forget to record it in your scheme of work or learning management system. The short URL, ready to be copied and pasted, is as follows:

Alternatively, if you use Google Classroom, all you have to do is click on the green icon below in order to add this activity to one of your classes.

It may be worth remembering that if Transum.org should go offline for whatever reason, there is a mirror site at Transum.info that contains most of the resources that are available here on Transum.org.

When planning to use technology in your lesson always have a plan B!

Transum.org is a proud supporter of the kidSAFE Seal Program

© Transum Mathematics 1997-2026
Scan the QR code below to visit the online version of this activity.

This is a QR Code

https://www.Transum.org/go/?Num=1036

Description of Levels

Close

Numeric HCF - Begin with the basics; practise finding the HCF of pairs of numbers

Level 1 - Expressions such as: 3c² and 9c

Level 2 - Expressions such as: 4x²y and 8xy³

Level 3 - Expressions with 3 variables and 3 terms

Level 4 - Exercise from an old textbook

Level 5 - More advanced exercise from an old textbook

Algebraic HCF - A very similar exercise that can be used to practise finding the highest common factor (HCF) of pairs of expressions

More on Factors including lesson Starters, visual aids, investigations and self-marking exercises.

Answers to this exercise are available lower down this page when you are logged in to your Transum account. If you don’t yet have a Transum subscription one can be very quickly set up if you are a teacher, tutor or parent.

Log in Sign up

Curriculum Reference

See the National Curriculum page for links to related online activities and resources.

Help

Before beginning this Algebraic HCF exercise you should have mastered
the numeric HCF Exercise.

To type an index or power us the caret symbol ^

For many questions at Levels 4 and 5 the lowest common multiple can be expressed in a number of different formats. The challenge is to find the same format that was printed in the textbook over one hundred years ago. Click on the question numbers in the answers block (at Levels 4 and 5) for a clue showing the required format.

Don't wait until you have finished the exercise before you click on the 'Check' button. Click it often as you work through the questions to see if you are answering them correctly. You can double-click the 'Check' button to make it float at the bottom of your screen.

 

The video above is from @MarkWillisMaths

Answers to this exercise are available lower down this page when you are logged in to your Transum account. If you don’t yet have a Transum subscription one can be very quickly set up if you are a teacher, tutor or parent.

Log in Sign up

Close